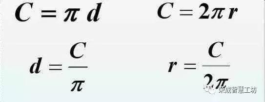
码丁实验室,一站式儿童编程学习产品,寻地方代理合作共赢,微信联系:leon121393608。 圆周长公式 公式描述: 公式中r为圆的半径,d为圆的直径。 圆1脚本 圆2脚本 探究同心圆和奥运五环的画法。